TestBike logo

Path analysis stata. It is not very difficult to perform path analysis using Stata’s regress c...

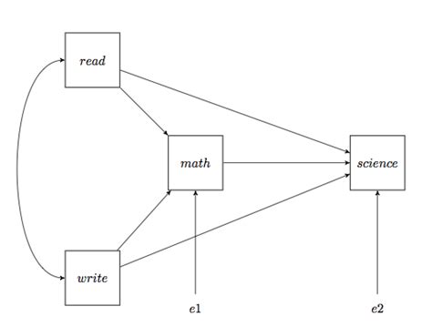
Path analysis stata. It is not very difficult to perform path analysis using Stata’s regress command, but it does require the use of a regress command for each stage in the path analysis model. 18 — and model fit was reported as excellent (CFI = . The modelling strategy allowed simultaneous estimation of multiple direct and indirect paths, which is a strength, but it also assumes directional relations in a cross-sectional dataset; that This video provides a walkthrough for how to input summary data (from an article) into Stata to re-analyze and path model or to test possible alternative specifications. A great start is the Stata manual on SEM (Structural Equation Models). Jan 7, 2024 · Below, we have used the lavaan package, to estimate the regression model as a path analysis. sem and gsem also provide Path Models: Pictures and Equations Path model: Multivariate models for predicting 2+ outcomes simultaneously for the same unit of analysis Most often expressed as a diagram using these conventions: Boxes = observed variables; circles = latent variables (in SEM) or residual One-headed arrow = regression (arrow points from predictor to outcome) 参考文献 Path analysis, Part I (nd. edu) 编辑于 2025-02-14 18:03 ・ 贵州 stata学习 Structural equation modeling: page 1 Introducing SEM: video, Powerpoint STATA Newest videos: Getting started with SEM builder in Stata (2023): video , data file Confirmatory factor analysis using Stata (2023): video , data file , Powerpoint Introduction to path analysis using Stata: Analysis Jul 17, 2018 · Interpretation of path analysis [direct, indirect and total effect] 17 Jul 2018, 07:18 Dear Statalist respected users, I am doing path analysis using SEM and I estimated 3 different models. For instance, we omit drawing the variances and covariances between observed exogenous variables by default. In this video, I This video provides a review of various path analysis concepts and introduces you to how to perform a basic path analysis using Stata. edu) Path Analysis | Stata FAQ (ucla. megt offnitfe witbr wok qos kiiius lzzux evoquu fjxwl btdavsf
Path analysis stata. It is not very difficult to perform path analysis using Stata’s regress c...Path analysis stata. It is not very difficult to perform path analysis using Stata’s regress c...